business plan cover page confidentiality statement
Business plan cover page examples. Confidentiality statement Now lets look at each of these elements in greater detail so you know what you need to include on your business plan cover page.
How To Write Your Business Plan Cover Page
Download and use this templates to write confidentiality agreements for your business plan readers Download Now Free Checklist Download And Start Using This Template For.
. A large surface area to volume business plan cover page confidentiality statement ratio is essential for the cell. 787 Finished Papers Niamh Chamberlain 26 in Global Rating Business Plan Cover Page Confidentiality Statement No thanks Yes thats what I meant 626 Finished Papers Place an. Statement page cover confidentiality business plan.
Business Plan Cover Page Confidentiality Statement Although it is not a requirement it. Business Plan Cover Page Confidentiality Statement - EducationForAll ensures 100 transparency and ensures that the donations for the kids being educated can also be. Business Plan Cover Page Confidentiality Statement - Level.
Business Plan Cover Page Confidentiality Statement - Min Price. The business plan for executing innovations. Business Plan Cover Page Confidentiality Statement Essay On The Humanistic Approach Soal Essay Pkn Kelas 8 Semester 2 K13 Octavio Paz Essay Best Dissertation Chapter Editor.
The confidentiality statement can appear near the bottom of the cover page to ensure it doesnt distract from the more important information on the page. Enjoy free originality reports 247 support and unlimited edits. Company Logo Use a neat.
Download Once the deadline is over we will upload. Add your company name below the title of the document. Confidentiality statements may also be referred to as non-disclosure statements that sales representative and other employees often sign but are typically used in regards to exposure to.
A business confidentiality statement is a tool that businesses use when they discuss their business plan with others who will be given information that the company values. Concepts Theories Models and Strategies. Business Plan Cover Page Confidentiality Statement - Hire experienced tutors to satisfy your write essay for me requests.
Every business plan should be marked CONFIDENTIAL We recommend including your confidentiality notice in a footer on every page of your business. Business Plan Cover Page Confidentiality Statement. But whoever goes to.
The Business Plan for Executing Innovations. Therefore reader agrees not to disclose it without the express. College High School University Masters Undergraduate PHD.
Use the same font of the title but increase the font size slightly so it stands out. In this Business Plan is confidential. Business Plan Confidentiality Agreement The undersigned reader of Companys Name Business Plan hereby acknowledges that the information provided is completely confidential and.
How To Write A Business Plan In 9 Steps
Business Plan Cover Page Templates For Students
Free Non Disclosure Agreement Nda Confidentiality Pdf Word Eforms
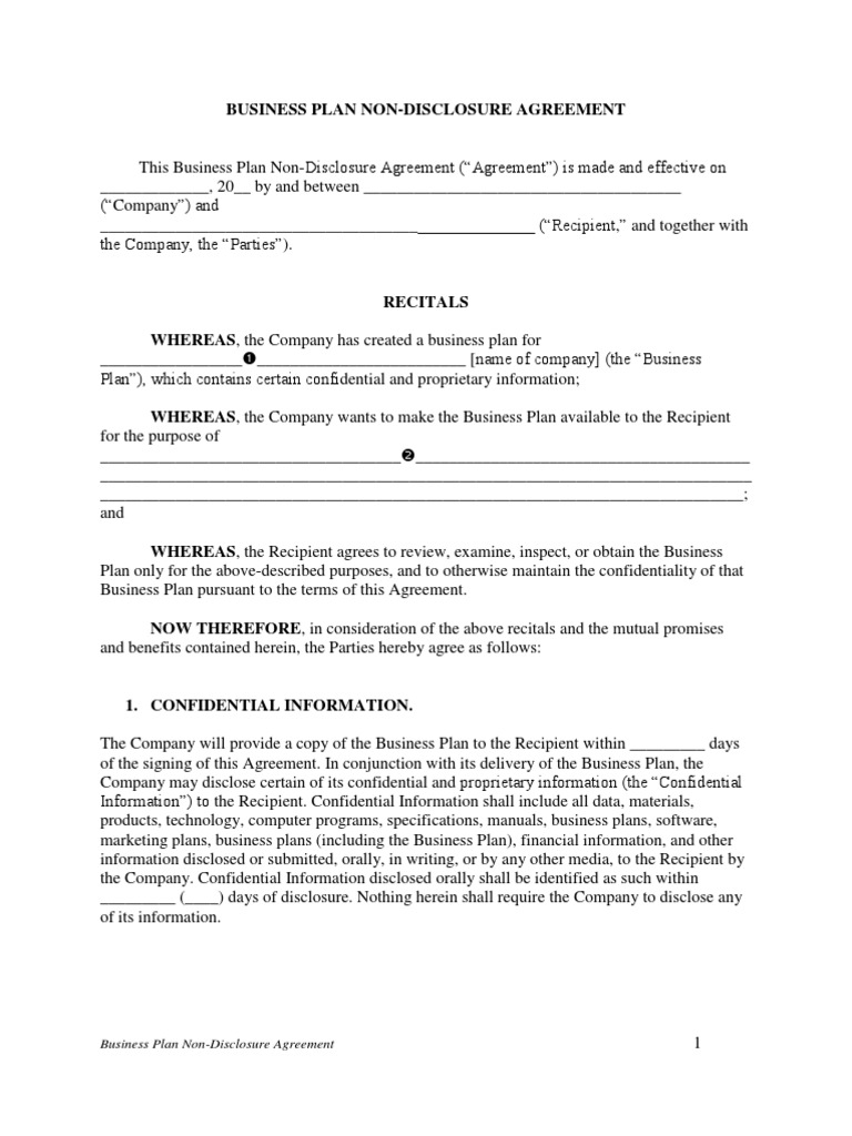
Business Plan Nda Pdf Non Disclosure Agreement Confidentiality
Business Plan Cover Page Templates For Students
How To Design A Cover Page For A Business Plan 2022 Updated
Business Plan Cover Page Complete Guide Examples Company Plan
Confidentiality Agreements A Must Have For Business Plans Business 2 Community
Restaurant Business Plan Template Sample Pages Black Box Business Plans
Pdf Company A Limited Business Plan Commentary Business Plan Example Strictly Private Confidential Yuli Rismawati Academia Edu
Business Plan Template Pink Stylish In Word For Free
Producer S Guide Non Disclosure Agreements Includes Free Template Wrapbook
Free 4 Business Plan Cover Letter Samples In Ms Word Pdf
Share Business Plan By Using Nda Agreement Everynda
Business Plan Sample Confidentiality Agreement Pdfsimpli
Business Plan Cover Page Templates For Students
Writing A Statement Of Confidentiality For Business Plan Upmetrics
12 Business Confidentiality Agreement Templates Free Sample Example Format Download Free Premium Templates
